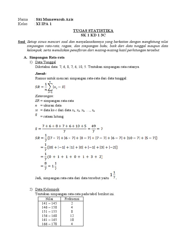
Simpangan Rata Rata Data Kelompok

Jan 28, 2021

Cara Menentukan atau Menghitung Simpangan Rata Rata Data Kelompok … Rumus Simpangan Rata-rata, Ragam, Simpangan Baku | idschool Ukuran Penyebaran Data - ppt download √ Statistika: Diagram, Tabel, Median, Modus, Kuartil, Soal … Simpangan rata rata,ragam, dan simpangan baku pada data berkelompok Simpangan Rata-rata data tunggal berbobot dan data kelompok - YouTube cara mencari simpangan rata rata dalam tabel - Brainly.co.id Contoh soal Jangkauan (data belum dikelompokkan): - ppt download Tutorial Cara Mudah dan Cepat Menentukan dan Menghitung Simpangan … Contoh Soal Simpangan Rata Rata Data Tunggal - Barisan Contoh P9_penyebaran data_range dan simpangan rata-rata Tutorial Cara Mudah Menentukan Dan Menghitung Simpangan Rata rata … Simpangan Rata Rata - Pengertian, Rumus dan Contoh Soal √ Rumus Simpangan Rata Rata : Contoh Soal, Cara Menghitung Contoh Soal Dan Jawaban Deviasi Rata Rata – IlmuSosial.id 7) Simpangan Baku, Ragam dan Simpangan rata-rata Data Bergolong … Rumus Simpangan Baku UKURAN PENYEBARAN DATA - ppt download Menentukan nilai rata-rata data kelompok | MahinMuhammad Menghitung Rata-rata Dengan Microsoft Excel It’s Me, R: Perbedaan Simpangan Rata-Rata, Simpangan Baku & Varians Simpangan rata rata,ragam, dan simpangan baku pada data berkelompok Simpangan rata-rata Data Berkelompok by Victor Kaseger on Prezi Next Aksa Pance - YouTube Rumus Simpangan Baku 6.Simpangan Rata-Rata Statistika Deskriptif Data Kelompok 5: Simpangan Rata-Rata - YouTube rata-rata data kelompok dengan interval kelas - RumusHitung.Com UKURAN VARIASI ATAU DISPERSI (Pengukuran Dispersi) - ppt download my blog: Statistika (Simpangan rata-rata, Simpangan Baku, Varian) Rumus Rata Rata Varians Dan Simpangan Baku – Edukasi.Lif.co.id Statistika : Ukuran Penyebaran Data - Konsep Matematika (KoMa) LKPD Simpangan Rata-rata.docx Statistika Data Simpangan Rata-Rata for Android - APK Download Simpangan Rata - Rata - Pengertian, Rumus - Rumus Dan Soal Cara mencari simpangan rata2 data kelompok - YouTube Contoh Soal Dan Jawaban Ragam Dan Simpangan Baku – IlmuSosial.id Statistics Average Equivalent Data for Android - APK Download Statistika (Simpangan a Ragam, Dan Simpangan Baku) Rumus Simpangan Baku - YasPeMaInsidi Cara Menghitung Simpangan Rata rata: 8 Langkah (dengan Gambar) PENGUKURAN PENYIMPANGAN | dreamerzone16 Menghitung Mean Data Kelompok di Excel || Pelatihan Ms Excel Terbaik Ukuran Penyebaran Data Kelompok - CATATAN MATEMATIKA Rumus Perhitungan Statistika Data Berkelompok Menaksir Selang Rata Rata Populasi Statistika - Cute766 SIMPANGAN RATA-RATA DATA BERGOLONG (KELOMPOK) |authorSTREAM Index of /wp-content/uploads/2019/01/ DATA KELOMPOK : Simpangan Baku, Deviasi Standar, Simpangan Rata … Menentukan Simpangan Rata-rata dari Data 45+ Contoh Soal Statistika dan Jawaban [+Pembahasan] Rumus Simpangan Baku Simpangan rata rata,ragam, dan simpangan baku pada data berkelompok Simpangan rata.doc BS MTK Wajib K13 rev 2018-by sartono-Flip Book Pages 51-100 | PubHTML5 Access rumusstatistik.com. Rumus Statistik ragam dan simpanan baku untuk data berkelompok - Brainly.co.id Cara Menghitung Simpangan Rata rata: 8 Langkah (dengan Gambar) Standar Deviasi : Pengertian, Rumus dan Contoh Soal Lengkap Diketahui data sebagai berikut. Nilai frekuensi 42 – 46 3 … Cara Mencari Simpangan Baku Menggunakan Microsoft Excel - LABMUTU Tentukan rata rata dengan metode biasa simpangan rata rata dan … EaSt StrEet: Mencari Rata-rata Hitung Data Berkelompok Standar Deviasi : Pengertian, Rumus dan Contoh Soal Lengkap BAB 6 UKURAN DISPERSI. - ppt download Ukuran Pemusatan dan Penyebaran Data Berkelompok Halaman all … 30+ Soal dan Pembahasan Matematika Dasar Statistika Data Tunggal … Cara menghitung Jangkauan (range), Rata-rata Simpangan, Simpangan … Simpangan Rata-rata data Kelompok - YouTube UKURAN VARIASI ATAU DISPERSI (Pengukuran Dispersi), JENIS DISPERSI … Cara Mengerjakan Rata Rata Data Kelompok – IlmuSosial.id DOC) PEMBAHASAN SOAL STATISTIK | Baiq Mitra Yuniar Paramita … Menghitung Mean Data Kelompok di Excel || Pelatihan Ms Excel Terbaik Ukuran Penyebaran Data Berkelompok – Corona Todays PPT - Awallysa Kumala Sari PowerPoint Presentation, free download … Median Data Berkelompok Contoh Soal Mean, Median, Modus, Rumus dan Jawabannya Lengkap Buku pegangan siswa matematika sma kelas Matematika - Simpanan Rata-Rata & Pokok Statistika Matematika - Tambah Pinter √ Simpangan Baku: Rumus Cara Menghitung dan Contoh Soal fahrudinahmad – Laman 5 Simpangan Rata - rata worksheet 1. Dari data 2,3,6,8,11 tentukan a. Simpangan rata rata b … DOC) 15 4 statistik | Fauziah Farah - Academia.edu MATEMATIKA PINTAR: Mean/Rata-rata Statistika (Simpangan a Ragam, Dan Simpangan Baku) Matematika Soshum – Statistika, Kaidah Pencacahan, Peluang … Contoh contoh statistik - [PDF Document] Ukuran Penyebaran Data - ppt download MATERI STATSITIKA_ 1 Pages 1 - 18 - Flip PDF Download | FlipHTML5 Statistika : Ukuran Pemusatan Data - Konsep Matematika (KoMa) Statistics Average Equivalent Data – (Android Apps) — AppAgg Simpangan Rata Rata – Pengertian, Rumus dan Cara Menentukannya Rata rata data di bawah adalah 6 maka nilai x Nilai 4 5 6 7 8 9 … SIMPANGAN RATA-RATA DATA KELOMPOK - YouTube P9_penyebaran data_range dan simpangan rata-rata Cara Mencari Simpangan Baku Menggunakan Microsoft Excel - LABMUTU W03-Ukuran Penyebaran Data - Belajar Matematika .Penarikan … Pelajaran, Soal & Rumus Simpangan Baku Data Berkelompok | Wardaya …

Pengertian La Nina Dan El Nino

Ciri Ciri Pasar Oligopoli Terdapat Pada Pasangan