Sifat Sifat Kubus Dan Balok

Jan 28, 2021

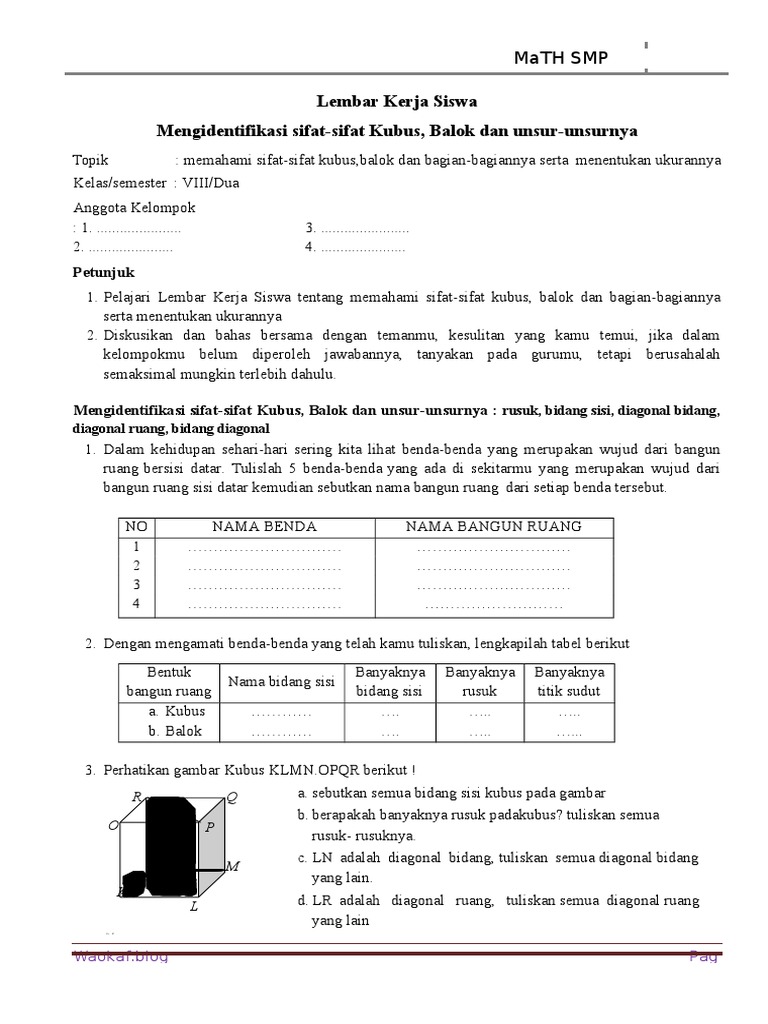
Bangun Ruang Sederhana - ppt download Bangun Ruang (Kubus, Balok, dan Tabung) MARETONG: Pengertian dan Sifat-Sifat Kubus / Balok ciri ciri balok dan kubus? - Brainly.co.id Pengertian dan Sifat-Sifat Berbagai Macam Bangun Ruang Lengkap ( Kubus, Balok, Bola, Tabung, Kerucut, Limas, Prisma ) – Matematika itu menyenangkan Bangun Ruang (Kubus, Balok, dan Tabung) Pengertian, Sifat, dan Rumus-rumus Balok | Matematika Kelas 8 Sifat-Sifat Bangun Ruang Kubus dan Rumusnya Serta Contoh Soalnya Sifat-Sifat Kubus dan Balok, Cara Mengitung Luas Permukaan serta Volume Kubus dan Balok - Semua Halaman - Bobo Sifat kubus dan balok - YouTube Pengertian Kubus dan Balok, Unsur-Unsur, Jaring-Jaring, Rumus, dan Contoh Soalnya SIFAT KUBUS DAN BALOK - YouTube Selamat Datang di Pembelajaran Pengenalan Bangun Ruang Sederhana - ppt download MARETONG: Pengertian dan Sifat-Sifat Kubus / Balok Rumus Volume, Luas permukaan dan Sifat Bangun ruang - Berbagi Ilmu Pengetahuan Umum asa generasiku: UNSUR - UNSUR BANGUN RUANG (BALOK, KUBUS, PRISMA, TABUNG, LIMAS DAN KERUCUT) tentukan Sifat sifat kubus dan balok!bantuan nya kakak - Brainly.co.id Sifat-sifat balok Dan kubus - YouTube Materi Kubus,Balok,Limas,Prisma Pengertian dan Sifat - Sifat Bangun Ruang Matematika Bangun Ruang (Kubus, Balok, dan Tabung) Websitependidikan.Com_Info-Tips Pendidikan, Parenting, Pedagogik, dan Seputar Ilmu Pengetahuan √ Bangun Ruang: Pengertian, Macam, Rumus, Sifat, Contoh Soal kubus, balok, prisma Sebutkan ciri-ciri kubus yang juga menjadi ciri-ciri balok - Brainly.co.id Bangun Ruang (Kubus dan Balok) Sifat-Sifat serta Cara Mengitung Luas Permukaan dan Volume Kubus, Materi Belajar dari Rumah Matematika SD Kelas 4-6 | Bobo.id | LINE TODAY Streaming Jaring jaring Kubus dan Balok I Sifat-Sifat Bangun Ruang I Gemar Matematika I Matematika SD I Seg.3 - Vidio.com Sifat-Sifat Kubus dan Balok, Cara Mengitung Luas Permukaan serta Volume Kubus dan Balok - Semua Halaman - Bobo Soal dan Kunci Jawaban SD Kelas 1-3 Selasa 9 Juni 2020 TVRI: Jelaskan Sifat-Sifat Kubus - Halaman all - Surya Malang Sifat-Sifat Bangun Ruang Lengkap Indonesian OER-Hub Sifat - Sifat Kubus Beserta Gambarnya - Cilacap Klik Kubus – Unsur-Unsur Kubus, Jaring-Jaring, Rumus dan Contoh Soal Lengkap – Pelajaran Sekolah Online Sebutkan Sifat-sifat Kubus Yang Kamu Ketahui, Cek Jawabannya di Soal dan Jawaban Kelas 1-3 SD 9 Juni - Halaman all - Tribun Pontianak Page 216 - Ayo Belajar MTK 4 Kubus dan balok PPT - BANGUN RUANG SISI DATAR PowerPoint Presentation, free download - ID:6571786 Jaring Jaring Balok -Pengertian, Rumus, Ciri, Unsur & Gambarnya BANGUN RUANG SISI DATAR materi soal rangkuman Motivasi Memahami sifat-sifat kubus, balok, prisma, limas, dan bagian-bagiannya, serta menentukan ukurannya. - ppt download Kubus dan Balok – Matematika Kusuka Persamaan dan perbedaan antara kubus dan balok - YouTube Bangun Ruang (Kubus, Balok, dan Tabung) - [PDF Document] DOC) RPP bagian balok dan kubus serta sifat-sifatnya | siti nuriyatin - Academia.edu Luas Muka dan Volume Kubus, Balok, Prisma, dan 006 presentasi skripsi ali - [PPTX Powerpoint] LKS-1 BANGUN RUANG SISI DATAR Kubus : Unsur, Sifat, Rumus Volume dan Luas Permukaan Sifat-Sifat Balok - Berpendidikan.Com Dimensi Tiga: Menentukan Jarak Titik dengan Titik Halaman all - Kompas.com Jaring Jaring Kubus - Pengertian, Cara Membuat, Rumus & Gambarnya Matematika Kelas 4 SD: Sifat-sifat Bangun Ruang - SyamSun Sebutkan Sifat-sifat Kubus, Jawaban Soal 1 - 3 SD Materi Mengenal Bangun Ruang Selasa 9 Juni 2020 - TribunStyle.com Pengertian Kubus dan Balok, Unsur-Unsur, Jaring-Jaring, Rumus, dan Contoh Soalnya LKS-Kubus √ Bangun Ruang Sisi Datar: Macam, Sifat, Rumus, Soal, Pembahasan Rumus Bangun Ruang: Kubus, Balok, Tabung, Bola dll Bangun Ruang Matematika 8 Bangun Ruang dan Bangun Datar Ayo Belajar Matematika – Kelas IV 1. Sifat-Sifat Kubus Untuk mengetahui sifat-sifat bangun ruang kubus, mari kita perhatikan gambar di bawah ini. - [PDF Document] 8 bangun ruang beserta sifatnya - Brainly.co.id PPT - KUBUS DAN BALOK PowerPoint Presentation, free download - ID:2961648 Masih Ada: MATERI PELAJARAN MATEMATIKA SMP, KELAS VIII SEMESTER 2,” BANGUN RUANG SISI DATAR “. Pengertian dan Sifat-Sifat Berbagai Macam Bangun Ruang Lengkap ( Kubus, Balok, Bola, Tabung, Kerucut, Limas, Prisma ) – Matematika itu menyenangkan Jaring Jaring Balok -Pengertian, Rumus, Ciri, Unsur & Gambarnya Kelas 4 - Ayo Belajar Matematika - Burhan by Yeti Herawati - issuu Mathematics Island: Kubus dan Balok Bangun Ruang (Kubus dan Balok) Bangun Ruang Kubus Dan Balok(2) Soal dan Jawaban Jelaskan Sifat-sifat Kubus Materi Mengenal Bangun Ruang Kelas 1-3 SD Belajar TVRI - Tribunnewsmaker.com √ Bangun Ruang: Pengertian, Macam, Rumus, Sifat, Contoh Soal Rumus Bangun Ruang Kubus, Balok, dll. (Volume dan Luas Permukaan) Sifat-siafat Bangun Ruang Dan Hubungan Bangun Ruang - ppt download Sifat-Sifat Diagonal Bidang, Bidang Diagonal, dan Diagonal Ruang » Synaoo.com Page 169 - Asyiknya Belajar Matematika 4 TUGAS “KUBUS” - [PPTX Powerpoint] √Balok : Pengertian, Sifat, Rumus dan Unsurnya MATEMATIKA KELAS 4 BAB SIFAT BANGUN RUANG Jaring Jaring Kubus- Pengertian, Ciri - Ciri, Unsur, Sifat- LAMPIRAN 1 Berapa Jumlah Titik Sudut, Rusuk, dan Sisi pada Kubus? - Ukuran Dan Satuan DOC) LKS Konstruktivisme Unsur Kubus & Balok | Suriarta Nyoman - Academia.edu lukislah sebuah kubus dan sebuah balok.dapatkah kalian menentukan sifat sifat kubus dan balok - Brainly.co.id Sifat-Sifat Bangun Ruang Kubus dan Rumusnya Serta Contoh Soalnya Pengertian Bangun Ruang : Macam Macam Bangun Ruang, Penjelasan dan Rumusnya Lengkap – Pelajaran Sekolah Online Kumpulan Rumus-Rumus Bangun Ruang Dan Ciri-Cirinya LAMPIRAN 1 LKS Volume Balok dan Kubus Rumus Kubus | Volume Kubus dan Luas Permukaan Kubus - Advernesia Matematika: Kubus dan Balok (Sifat-sifat, jaring-jaring, luas permukaan, dan volume) - YouTube Pengertian serta Unsur-unsur Kubus dan Balok Lengkap - Berpendidikan.Com Skenario Pembelajaran - Dyahmursitowati’s Blog | .Web viewMengenal bangun ruang balok dan kubus Mengidentifikasi Pengertian Dan Sifat-Sifat Kubus, Balok, Bola, Tabung, Kerucut, Limas, Prisma - Dunia Edukasi SD kelas 6 - MATEMATIKA BAB 12. BANGUN STANDAR KOMPETENSI dan KOMPETENSI DASAR - ppt download Sifat-sifat Kubus, Kunci Jawaban Belajar dari Rumah TVRI untuk SD Kelas 1-3, Selasa 9 Juni 2020 - Halaman all - Tribunnewswiki.com Mobile Contoh Jaring Jaring Balok Dan Cara Membuatnya LAMPIRAN Matematika Kelas 6 | Rumus-rumus Kubus dan Balok 54 Gambar Jaring Jaring Balok : Rumus dan Cara Menghitung LKS-Kubus

Apa Itu Daftar Riwayat Hidup

Sekjen Asean Yang Sekarang Adalah