Kalimat Majemuk Setara Dan Bertingkat

Jan 28, 2021

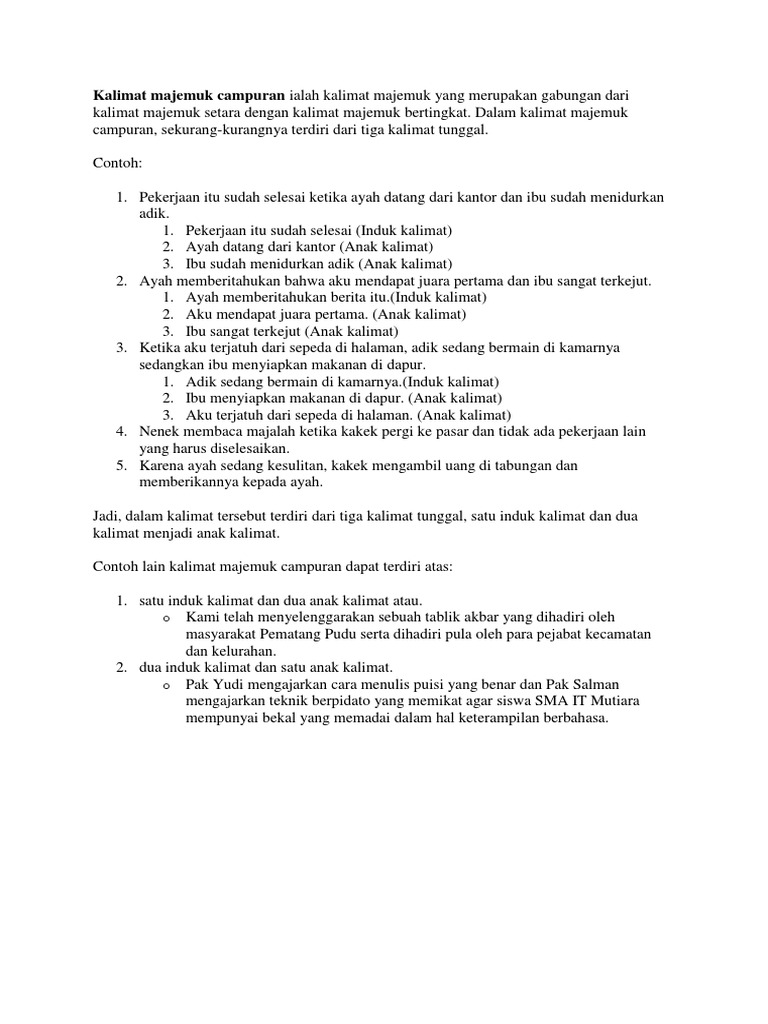
Kalimat majemuk setara dan bertingkat Contoh Kalimat Majemuk Setara Beserta Pola SPOK | idschool 20+ Contoh Kalimat Majemuk Setara, Bertingkat, Dll Lengkap Contoh Kalimat Majemuk Campuran Beserta Pola SPOK | idschool Kalimat Majemuk Setara Dan Bertingkat kalimat majemuk setara, bertingkat, rapatan, dan Bahasa Indonesia Kalimat Majemuk – Cute766 perbedaan majemuk setara Dan bertingkat itu bdnya apa - Brainly.co.id Contoh Kalimat Majemuk Setara Dan Bertingkat - Mosaicone Contoh Kata Majemuk Setara - Katapos Contoh Kalimat Majemuk Bertingkat + Pola SPOKnya | idschool Kalimat Majemuk Campuran Ialah Kalimat Majemuk Yang … DOC) Kalimat Majemuk Setara | Aurelle Tampubolon - Academia.edu Contoh Kata Majemuk Setara Aneka Macam Contoh – Resep Kuini Ivan Lanin on Twitter: “https://t.co/Gsw1BuUYqT… " Apakah Perbedaan Kalimat Majemuk Setara dan Bertingkat – Official … Contoh Kalimat Majemuk Campuran Beserta Pengertian, Ciri-ciri, dan … Contoh Kalimat Majemuk Bertingkat - Pengertian dan Ciri-Ciri Pras Academy - SMP: Kalimat Majemuk Setara dan Bertingkat Perbedaan Kalimat Majemuk Setara dan Bertingkat | Narabahasa Contoh Kalimat Majemuk Bertingkat Dan Setara - Aneka Macam Contoh makalah kalimat majemuk Jenis dan Contoh Kalimat Majemuk Setara Anggi Putri Contoh Kalimat Majemuk Campuran – Pengertian Dan Jenisnya Pengertian Kalimat Majemuk Setara, Ciri, Jenis dan Contoh Jenis-jenis Kalimat Majemuk Bertingkat : Pengertian, Jenis dan … buatlah kalimat majemuk setara & bertingkat dalam teks putri … Kalimat Majemuk – Pengertian, Ciri Ciri dan Jenisnya Kalo dalam KMC"Kalimat majemuk campuran”, gimana bisa membedakan … Contoh Kalimat Majemuk Campuran - Mosaicone Pengertian dan Contoh Kalimat Majemuk Campuran - Berpendidikan.Com Contoh Kalimat Majemuk Campuran, Bertingkat, Setara dan Rapatan KALIMAT DALAM BAHASA INDONESIA - ppt download DOC) Kalimat Tunggal dan Kalimat Majemuk | Syarafina Hs - Academia.edu KALIMAT MAJEMUK SETARA, BERTINGKAT, RAPATAN, DAN CAMPURAN … Kalimat majemuk setara dan bertingkat - [DOCX Document] Apa perbedaannya KMS “Kalimat majemuk setara” dan KMB “Kalimat … Kalimat Majemuk 2 Kalimat Tunggal dan Kalimat Majemuk: Setara, Bertingkat, Rapatan … Contoh Kalimat Majemuk Campuran, Bertingkat, dan Tunggal PPT - KALIMAT MAJEMUK PowerPoint Presentation, free download - ID … Rafsa Putri Kristin PTI: Kalimat Majemuk Setara Rapatan dan Bertingkat Macam Macam Kalimat Majemuk Bertingkat – Surabaya Kalimat Majemuk Setara Dan Bertingkat – Corona Todays KALIMAT MAJEMUK 1 Pengertian Kalimat Majemuk : Pengertian, Ciri - ciri dan Jenisnya DOC) Makalah Tentang Kalimat Majemuk Setara & Bertingkat Kelompok … Contoh Kalimat Majemuk : Pengertian, Ciri, Macam, Jenis Buatlah 3 Contoh kalimat Majemuk setara & bertingkat yang … Kalimat Majemuk Bertingkat dan Setara | Siswapedia Bahasa indonesia Kalimat Majemuk Setara dan Bertingkat - YouTube 30 Contoh Kalimat Majemuk Setara, Bertingkat, Campuran, Rapatan APA YANG DIMAKSUD KALIMAT MAJEMUK BERTINGKAT DALAM BAHASA … Kalimat Majemuk √ Pembahasan Kalimat Majemuk Lengkap (Dilengkapi Contoh) Kalimat Majemuk 2 Contoh Kalimat Majemuk Setara Dan Bertingkat Bahasa Inggris … DOC) KONJUNGSI kalimat majemuk | Rizka ‘Aina - Academia.edu MENGETAHUI ANALISIS KALIMAT MAJEMUK CAMPURAN DALAM BAHASA … Index of /wp-content/uploads/2018/10/ √ Pengertian Kalimat Majemuk Campuran, Karakteristik, Jenis-Jenis … Pengertian dan Contoh Kalimat Majemuk Setara (Koordinatif … kalimat-majemuk KALIMAT_MAJEMUK.ppt - verbal trans intrans tunggal kalimat majemuk … Contoh Kalimat Majemuk Setara Bertingkat Dan Campuran – Berbagai … MATERI 6 KALIMAT oleh M.RIYANTON, S.S.,M.Pd ppt download Penjelasan Lengkap Contoh Kalimat Majemuk Beserta Kalimat Majemuk Kalimat Majemuk: Pengertian, Jenis, dan Contoh Halaman all … Contoh Kalimat Majemuk Bertingkat Beserta Pola Kalimatnya … Kalimat Majemuk Setara Dan Bertingkat [8jlkrmq83745] Kalimat Tunggal dan Kalimat Majemuk: Pengertian, Ciri-Ciri, Jenis … 60 Contoh Kalimat Majemuk Setara dan Bertingkat Beserta Polanya Kalimat majemuk News - Penggunaan Kalimat Majemuk Setara dan Bertingkat Pembentukan dan perluasan kalimat Kalimat Majemuk Index of /wp-content/uploads/2018/10/ MATERI 6 KALIMAT oleh M.RIYANTON, S.S.,M.Pd ppt download Bahasa Indonesia 6 Charis: KALIMAT MAJEMUK Pelajaran Bahasa Indonesia: Jenis dan Contoh Kalimat Majemuk 50+ Contoh Kalimat Kompleks Setara dan Bertingkat [Terlengkap] Pengertian Kalimat Majemuk KALIMAT_MAJEMUK.pdf - verbal tunggal kalimat majemuk trans intrans … Kalimat Majemuk Campuran : Pengertian, Ciri, Jenis, Contoh √ Kalimat Majemuk: Pengertian, Ciri, Jenis & Contoh Campuran … Kalimat Majemuk - Pengertian & Contoh Setara Bertingkat Campuran Kalimat Majemuk Campuran : Pengertian, Ciri, Jenis & Contohnya Kalimat Majemuk Bertingkat, Setara, Rapatan & Campuran - serupa.id Perbedaan kalimat simpleks dan kompleks - YouTube MATERI 6 KALIMAT oleh M.RIYANTON, S.S.,M.Pd ppt download Temukan 2 kalimat majemuk setara dan 2 kalimat majemuk bertingkat … 100 Contoh Kalimat Majemuk Bertingkat, Setara, Campuran, dan … 17 Contoh Kalimat Majemuk Setara dan Bertingkat dalam Bahasa … Kalimat 70 Contoh Kalimat Majemuk Setara, Rapatan, Bertingkat, dan … Pengertian Kalimat Majemuk Bertingkat dan Setara | Typoonline PPT - 1. KALIMAT INTI 2. KALIMAT TUNGGAL 3. KALIMAT MAJEMUK 4 … Contoh Kalimat Majemuk Setara Dan Bertingkat Beserta - Cute766

Soal Dan Pembahasan Impuls Dan Momentum

Menghitung Biner Ke Desimal