Integral E Pangkat X Kuadrat

Jan 28, 2021

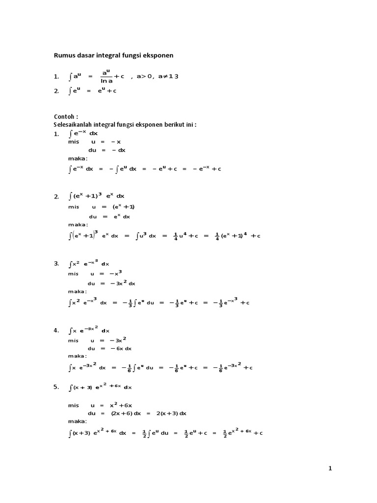
Soal dan Pembahasan Integral Dasar Fungsi Eksponensial (1-5) | Istana Mengajar Hasil Integral parsial dari x² e pangkat -x - Brainly.co.id Farid Nur Fadillah: INTEGRAL FUNGSI EKSPONENSIAL Soal dan Pembahasan Integral Dasar Fungsi Eksponensial (1-5) | Istana Mengajar BELAJAR KALKULUS 2: INTEGRAL DARI FUNGSI EKSPONEN a. integral 4 pangkat x dxb. integral e pangkat 5x dx - Brainly.co.id Soal dan Pembahasan Integral Dasar Fungsi Eksponensial (1-5) | Istana Mengajar Integral e pangkat x sin 2x dx - Brainly.co.id BELAJAR KALKULUS 2: INTEGRAL DARI FUNGSI EKSPONEN Soal dan Pembahasan Integral Dasar Fungsi Eksponensial (1-5) | Istana Mengajar INTEGRAL e^x dx : Contoh Soal - YouTube Bab 9. Teknik Pengintegralan ( Kalkulus 1 ) BELAJAR KALKULUS 2: INTEGRAL DARI FUNGSI EKSPONEN How to integrate xe^(-x^2) - YouTube Rumus Integral Matematika Ex 7.6, 21 - Integrate e^2x sin x (Using integration by parts) integral x pangkat 3 sin 2x dx - Brainly.co.id E Pangkat X Rumus Dasar Integral Fungsi Eksponen Integral Fungsi Eksponen dan Logaritma - Materi Lengkap Matematika Daftar integral dari fungsi eksponensial - Wikipedia bahasa Indonesia, ensiklopedia bebas Remidi matematika Bab Integral How do you find the integral of (e^x)(cosx) dx? | Socratic integral e pangkat x - YouTube √ Integral (Pengertian, Rumus, Parsial, Subtitusi, Tak Tentu) Ex 7.6, 21 - Integrate e^2x sin x (Using integration by parts) Rumus Integral Matematika Farid Nur Fadillah: INTEGRAL FUNGSI EKSPONENSIAL Integral Substitusi Fungsi Eksponen Trigonometri Remidi matematika Bab Integral DOC) SOAL-SOAL INTEGRAL | Ayu Puspa - Academia.edu Hasil dari integral sin^2 x cos x dx adalah… - YouTube slideplayer.info/slide/12072687/69/images/18/Tu… Persamaan Logaritma : Rumus, Sifat, Fungsi dan Contoh Soal Integral Substitusi & Integral Parsial - Materi, Rumus, Contoh Soal Persamaan Logaritma : Rumus, Sifat, Fungsi dan Contoh Soal x / (x^2 + 1) dx, Evaluate the indefinite integral. - YouTube How to calculate indefinite integral of [math]e^{x^2}[/math] - Quora Remidi matematika Bab Integral How to calculate indefinite integral of [math]e^{x^2}[/math] - Quora Integral X per akar x - 1 dx =? - Brainly.co.id learnwithalice.files.wordpress.com/2012/06/pict… x^2(x^3 + 5)^9 dx, Evaluate the indefinite integral. - YouTube How do you integrate xe^(2x)dx? | Socratic Modul Matematika - Kumpulan Soal Akhir Kelas X XI XII Pages 1 - 50 - Flip PDF Download | FlipHTML5 Remidi matematika Bab Integral INTEGRAL TAK WAJAR | Kalkulus II – Kelompok 1 Prof.Dr.Ir.SRI REDJEKI MT - ppt download Ex 7.6, 21 - Integrate e^2x sin x (Using integration by parts) Integral Fungsi Eksponen dan Logaritma - Materi Lengkap Matematika How to calculate indefinite integral of [math]e^{x^2}[/math] - Quora Rumus Integral Matematika Evaluate the integral? int e^(2x) cosx dx | Socratic Remidi matematika Bab Integral imgv2-2-f.scribdassets.com/img/document/3873816… Rumus-rumus Integral Baku | KUMPULAN RUMUS-RUMUS TERBARU 2x(x^2 + 3)^4 dx, Evaluate the indefinite integral. - YouTube ZealMath - Photos | Facebook √ Turunan Fungsi Aljabar: Turunan Dasar, Rumus, Soal, Pembahasan Integral - Matematika Kelas 11 - Rumus, Jenis & Soal | Quipper Blog Turunan E Pangkat 2 deret Maclaurin – Bermatematika integral x(2x+1) pangkat 3 dx= - Brainly.co.id Materi Kalkulus 2 (integral) [dvlr1yjo0z4z] Prasetyo Budi Darmono: Teoreme Green untuk Menyelesaikan Perhitungan Integral Garis 59 TEOREMA GREEN UNTUK MENYELESAIKAN PERHIT Modul Matematika - Kumpulan Soal Akhir Kelas X XI XII Pages 1 - 50 - Flip PDF Download | FlipHTML5 Integrasi Parsial & Substitusi - Integral Tentu / Tak Tentu, Rumus, Contoh Soal Deret Pangkat Matematika Beserta Contoh Soal dan Jawaban Persamaan Logaritma : Rumus, Sifat, Fungsi dan Contoh Soal √ 5 Cara Membuat Bilangan Pecahan, Pangkat & Akar di Word (Lengkap) Integrasi Parsial & Substitusi - Integral Tentu / Tak Tentu, Rumus, Contoh Soal Square (algebra) - Wikipedia 3 Contour integrals and Cauchy’s Theorem Soal dan Pembahasan - Fungsi Eksponen (Pangkat) - Mathcyber1997 E. Rusyaman’s research works | Universitas Padjadjaran, Bandung (UNPAD) and other places Contoh Soal Integral Akar X - Soal-Soal Lim x mendekati 3 9-x kuadrat/ 4-akar x kuadrat + 7…. Question from @Stpatonah https://123dok.com/document/qo52nr5y-smk-matematika-smk-bis.html 2021-01-20T12:29:41+07:00 monthly 1 https://data03.123dok.com/thumb/qo/52/nr5y/bai05f4pSojiOJHlLUD/gambar-di-samping-ini-adalah- x.webp 0.5 https://123dok.com/document lh3.googleusercontent.com/proxy/XQGdSNlTOAkPbE6… Materi Integral: Pengertian, Jenis, Sifat, Contoh Soal! - Blog Belajar Online Terbaik Kelas 11 SMA Method 2) Integral of x*e^(x^2) (substitution) - YouTube PERBANDINGAN KURIKULUM Modul Matematika - Kumpulan Soal Akhir Kelas X XI XII Pages 1 - 50 - Flip PDF Download | FlipHTML5 Rumus Persamaan Kuadrat - Penyelesaian, Akar dan Contoh Soal Integral - Wikipedia bahasa Indonesia, ensiklopedia bebas Integral of exp(-x^2) from –∞ to ∞ https://123dok.com/document/qo52nr5y-smk-matematika-smk-bis.html 2021-01-20T12:29:41+07:00 monthly 1 https://data03.123dok.com/thumb/qo/52/nr5y/bai05f4pSojiOJHlLUD/gambar-di-samping-ini-adalah- x.webp 0.5 https://123dok.com/document Prof.Dr.Ir.SRI REDJEKI MT - ppt download Chapter 7 Akar Persamaan Non-Linier | Metode Numerik Menggunakan R Untuk Teknik Lingkungan Integral Fungsi Rasional hasil dari integral cos x e pangkat 2+sin x dx : … - Brainly.co.id Integrasi Parsial & Substitusi - Integral Tentu / Tak Tentu, Rumus, Contoh Soal Integral Trigonometri - Rumus, Integral Cos, Soal & Pembahasan Data Entry Form for Spreadsheet Fungsi Kuadrat - Grafik, Rumus, Menyusun Persamaan, Contoh Soal ∫ ∫ )(. ∫ dxxx ∫ ∫ ∫ ∫ Rumus Integral Substitusi dan Rumus Integral Parsial | idschool How to calculate indefinite integral of [math]e^{x^2}[/math] - Quora Soal dan Pembahasan - Fungsi Eksponen (Pangkat) - Mathcyber1997

Contoh Kalimat Future Perfect Continuous Tense Positif Negatif Interogatif

Jaring Jaring Makanan Ekosistem Sungai