Frekuensi Nada Dawai Gitar Dapat Bertambah Tinggi Jika

Jan 28, 2021

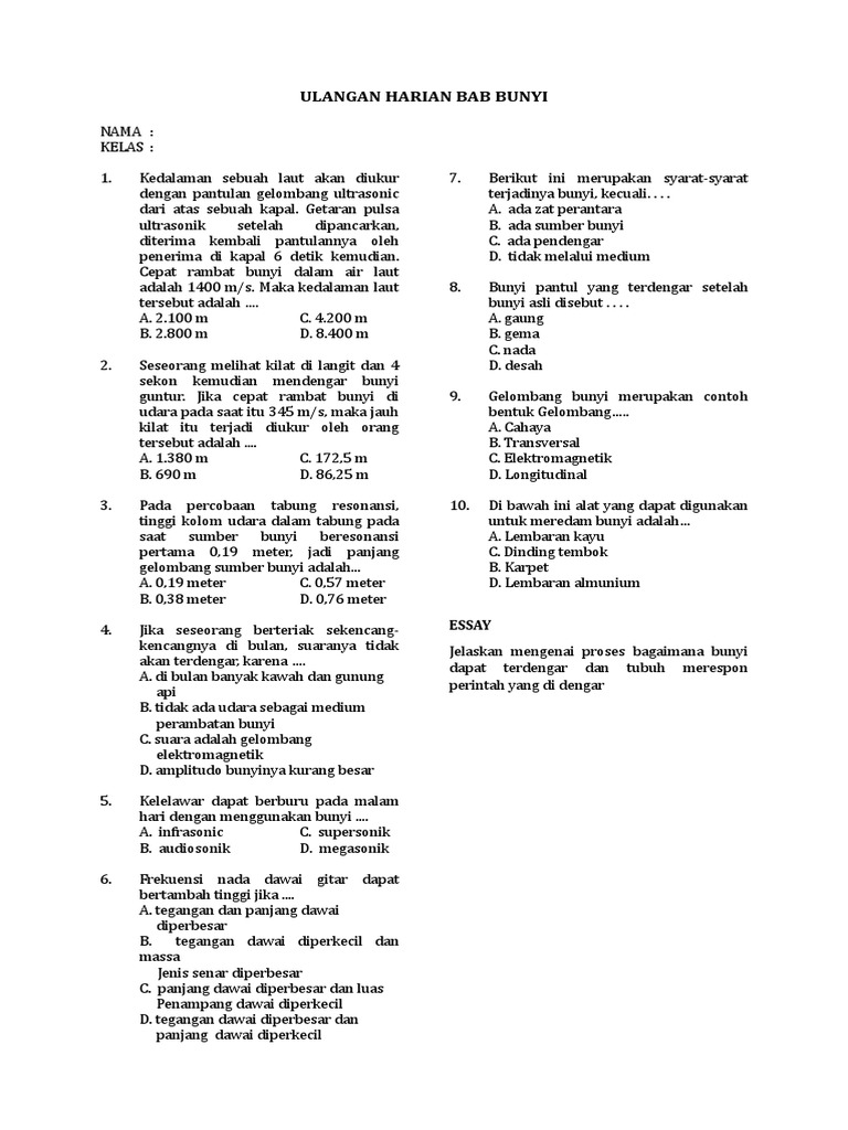
Frekuensi Nada Dawai Gitar Dapat Bertambah Tinggi Jika – Bali Frekuensi Nada Dawai Gitar Dapat Bertambah Tinggi Jika – Bali tolong di bantu dong no 15 terima kasih - Brainly.co.id Ulangan Harian Bab Bunyi: Essay Ulangan Harian 1 Getaran, Gelombang dan Bunyi: yd9204_aisha@yahoo.c om tolong jawab ya pls tugas fisika soalnya!! - Brainly.co.id Frekuensi Nada Dawai Gitar Dapat Bertambah Tinggi Jika – Bali kelas08_ipa_wasis-sugeng by s. van selagan - issuu Frekuensi nada dawai gitar dapat bertambah tinggi jika?? a.tegangan dawai diperbesar dan panjang - Brainly.co.id kelas08_ipa_wasis-sugeng by s. van selagan - issuu frekuensi nada dawai gitar dapat bertambah tinggi jika - Brainly.co.id Getaran, Gelombang dan Optika 75 GELOMBANG BUNYI 1. Skalu 1977 Gelombang longitudinal tidak menunjukkan peristiwa … A. pembias SOAL BUNYI 1.doc Diktat fisika 12 bunyi frekuensi nada dawai gitar dapat bertambah tinggi jika…. - Brainly.co.id 7 Contoh Soal Gelombang Bunyi pada Dawai - Materi Kimia SISWA TEKUN BELAJAR: Gelombang Stasioner Pada Dawai/Senar Bunyi 2012 Gelombang Stasioner Dan Pelayangan Gelombang - [PDF Document] trial 8 smp 16. Frekuensi nada dawai gitar dapatbertambah tinggi jika ….a. tegangan dan panjang - Brainly.co.id Jual Unik JOYO Tuner Gitar Rotatable 360 Degree - JT-01 FENOMENAL! - Kota Surakarta - PRIMA GALAXY KOMP& MiTRA | Tokopedia 7 Contoh Soal Gelombang Bunyi pada Dawai - Materi Kimia Diktat fisika 12 bunyi Latihan Soal Bunyi Kelas 12 SMA Pengenalan Nada Gitar dengan Menggunakan Metode Fast Fourier Transform (FFT) Kapan Anda Harus Mengganti Senar Gitar Anda? | Superprof PDF) Analisis Akord Dmayor pada Alat Musik Gitar Acoustik (Halaman 77 s.d. 81) SOAL BUNYI 1.doc TES BAB 4 GETARAN,GELOMBANG & BUNYI | Science Quiz - Quizizz Frekuensi nada dawai gitar dapat bertambah tinggi jika ? A. Tegangan dan panjang dawai - Brainly.co.id Uh Glb Bunyi - [DOC Document] FISIKA LINTAS MINAT_XI IPS_GELOMBANG BUNYI, SUMBER BUNYI DAN EFEK DOOPLER BUNYI: Pengertian BUNYI Mengenal Hukum Mersenne pada Senar dan Contoh di Kehidupan Sehari-hari Kelas 8 Gelombang, Bunyi, dan hukum Marsenne Quiz - Quizizz Kapan Anda Harus Mengganti Senar Gitar Anda? | Superprof Diktat fisika 12 bunyi Bab 11 Bunyi IPA VIII - Semseter 4 - Getaran dan Gelombang - Bab 10 trial 8 smp BAB 2 LANDASAN TEORI FISIKA LINTAS MINAT_XI IPS_GELOMBANG BUNYI, SUMBER BUNYI DAN EFEK DOOPLER Frekuensi nada dawai gitar dapat bertambah tinggi jika - Brainly.co.id 7 Contoh Soal Gelombang Bunyi pada Dawai - Materi Kimia Bagaimanakah Gitar membunyikan nada yang berbeda ? | mandaya.edu IPA VIII - Semseter 4 - Getaran dan Gelombang - Bab 10 Kapan Anda Harus Mengganti Senar Gitar Anda? | Superprof Pelajaran Sekolah Ku: SOAL UH BUNYI KELAS 8 SMP LKS BUNYI - [PDF Document] 10+ Cara bermain gitar untuk pemula hingga mahir, lengkap ! Untitled 1. Jujur; 3. Menganalisis; Menganalisis; 2. Menjawab Menjawab pertanyaan; pertanyaan; 4. Teliti. 1. Baca petunjuk pengerjaan seb Frekuensi Nada Dawai Gitar Dapat Bertambah Tinggi Jika – Bali SURAT PENCATATAN IPA VIII - Semseter 4 - Getaran dan Gelombang - Bab 10 Bab 11 Bunyi PEMBELAJARAN INKUIRI DENGAN PENDEKATAN DEMONSTRASI PADA POKOK BAHASAN BUNYI UNTUK MENINGKATKAN MINAT DAN HASIL BELAJAR IPA FISIKA SISWA SMP - PDF Download Gratis dlp4getaran BAB II TINJAUAN MUSIK GITAR TUNGGAL 2.1 Sejarah Instrumen Gitar Dan Perkembangannya Dalam melihat sejarah gitar, penulis menelaa Bagaimanakah Gitar membunyikan nada yang berbeda ? | mandaya.edu Pengenalan Nada Gitar dengan Menggunakan Metode Fast Fourier Transform (FFT) Cara Menggunakan Mikrofon Multi-Pola pada Gitar Akustik-Berita-FMUSER Pemasok One-Stop Siaran FM / TV Modul Bimbel Aqila Course: Soal Getaran Gelombang, IPA SMP 7 Contoh Soal Gelombang Bunyi pada Dawai - Materi Kimia Frekuensi nada dawai gitar dapat bertambah tinggi jika…. - Brainly.co.id Gelombang Bunyi : Karakteristik, Sifat, Contoh, Frekuensi Bunyi - ProProfs Quiz ANALISIS AKORD Dmayor PADA ALAT MUSIK GITAR ACOUSTIK Khairil Anwar1), M. Isnaini2), Linda Sekar Utami3) Penala gitar akustik dengan tampilan LCD dan menggunakan mikrokontroler MCS-51 Kapan Anda Harus Mengganti Senar Gitar Anda? | Superprof gelombang stasioner ppt 17 Cara Belajar Bermain Gitar: Kunci Dasar Gitar (Pemula hingga Mahir) BAB 1 PENDAHULUAN A. Latar Belakang dan Permasalahan Musik adalah hasil dari sebuah pemikiran, yakni elemen yang berupa vibrasi f S adalah frekuensi yang dipancarkan oleh sumber bunyi v P adalah kecepatan | Course Hero Yamaha - Indonesia EFEKTIVITAS PENGGUNAAN MODUL FISIKA MATERI BUNYI BERBASIS UNITY OF SCIENCESTERHADAP HASIL BELAJAR SISWA KELAS VIII DI MTS FUTUHI Uh Glb Bunyi 8 Rekomendasi Merek Senar Gitar Akustik Terbaik (Update 2020) | BukaReview ANALISIS AKORD Dmayor PADA ALAT MUSIK GITAR ACOUSTIK Khairil Anwar1), M. Isnaini2), Linda Sekar Utami3) Analisa dan Sintesa Bunyi Senar Pada Gitar Semi-Akustik Penala gitar akustik dengan tampilan LCD dan menggunakan mikrokontroler MCS-51 8 BAB II KAJIAN PUSTAKA 2.1 Alat Musik Dawai Alat (noun) dalam kamus besar bahasa Indonesia diartikan sebagai benda yang dipakai PDF) BAB II GELOMBANG BUNYI | kyung do - Academia.edu Bab 11 Bunyi A. Membedakan Infrasonik, Ultrasonik dan Audiosonik Pick up (gitar) - Wikipedia bahasa Indonesia, ensiklopedia bebas Pengenalan Nada Gitar dengan Menggunakan Metode Fast Fourier Transform (FFT) Getaran Gelombang dan Bunyi dalam Kehidupan Sehari - Hari f S adalah frekuensi yang dipancarkan oleh sumber bunyi v P adalah kecepatan | Course Hero Scanned Image KODE PJ-01 Pembimbing 1 Ir. Purwanto, MT. NIP. 19540424 198601 1 001 Pembimbing 2 Dr. Ir. Bambang Siswojo, MT. NIP. 19621211 bunyi 1.docx SISWA TEKUN BELAJAR: Gelombang Stasioner Pada Dawai/Senar Getaran Gelombang Bunyi | Science Quiz - Quizizz Kapan Anda Harus Mengganti Senar Gitar Anda? | Superprof FILE 1 SKRIPSI DAN DAPUS PENGARUH MODEL INKUIRI TERHADAP PEMAHAMAN KONSEP FISIKA SISWA PADA KONSEP BUNYI SKRIPSI PROGRAM STUDI PENDIDIKAN FISIKA JURUSAN IPA VIII - Semseter 4 - Getaran dan Gelombang - Bab 10 FISIKA LINTAS MINAT_XI IPS_GELOMBANG BUNYI, SUMBER BUNYI DAN EFEK DOOPLER

Cara Berkembang Biak Ubur Ubur

Kerjasama Antar Negara Dalam Bidang Ekonomi