Diketahui Fungsi F Dan G Dinyatakan Dalam Pasangan Terurut

Jan 28, 2021

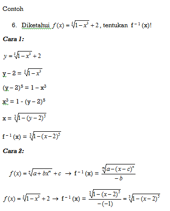
diketahui fungsi f dan g dinyatakan dalam pasangan berurut f = {(1,5) (2,6) (3,-1) (4,8)} g = - Brainly.co.id Diketahui fungsi f & g dalam pasangan berurutan f = {(-5,1),(-2,8),(-1,3),(4,10),(6,-4),(8,6)} - Brainly.co.id Diketahui fungsi f, g, dan h dinyatakan dalam pasangan berurutan berikut: f = {(1,4), (2,3), - Brainly.co.id fog(x) dari pasangan berurutan ,fungsi komposisi dan invers , bse matematika kelas 11 uk3,1 no 6 - YouTube diketahui fungsi f dan g dinyatakan dalam pasangan berurut f = {(1,5) (2,6) (3,-1) (4,8)} g = - Brainly.co.id Komposisi dan fungsi Bab 6 Diketahui himpunan A = {1, 2, 3, 4}. Fungsi f dan g pada A didefinisikan sebagai berikut. | Fungsi - YouTube kelas11_matematika-ipa_nugroho-maryanto by s. van selagan - issuu Menentukan fungsi dalam pasangan terurut Uji Kompetensi 3.1 No. 6 Matematika kelas XI K13. Saya - Brainly.co.id KomposisiFungsi1 Jawaban Uji Kompetensi 3.1 Bab 3 Matematika Kelas XI Halaman 107 - Bas | Bahan Ajar Buku Siswa Kelas 10 Matematika Pages 101 - 150 - Flip PDF Download | FlipHTML5 Bantu ya Jawab no 4…pliss Pake jalan teman Tolong,,besok di kumpul - Brainly.co.id Cara menentukan pasangan terurut gof dan fog - uji kompetensi 3.1 no 6 - YouTube Matematika kelas xi by P’e Thea - issuu 2. fungsi komposisi Komposisi dan fungsi 1 BAB I FUNGSI A. Fungsi 1. Fungsi atau Pemetaan a. Pengertian Komposisi Fungsi KEMENTERIAN AGAMA RI Bab 3 FUNGSI KOMPOSISI dan INVERS – Math is Fun Jika diketahui fungsi-fungsi f dan g dinyatakan dalam bentuk pasangan berurutan sebagai berikut. f - Brainly.co.id Komposisi dan fungsi Contoh Soal Fungsi Komposisi dan Invers dan Jawaban [+Pembahasan] Fungsi komposisi dalamfuzziblog: Diketahui Fungsi F Dan G Dinyatakan Dalam Pasangan Terurut Komposisi dan fungsi Tentukan a f o g x b g o f x 102 Jawab a f o g x f g x f 2x 3 2x 1 6x 1 b g o f | Course Hero BEBERAPA MACAM FUNGSI DALAM ALJABAR DOC) FUNSI KOMPOSISI | rubby maulana - Academia.edu Kelas_10_SMA_Matematika_Siswa_2017 Pages 101 - 150 - Flip PDF Download | FlipHTML5 Surga Matematika: Fungsi komposisi dan fungsi invers a f o g 35 46 54 63 g f f o g 3 4 5 6 8 1 1 2 5 6 4 3 17 b g o f 11 12 28 8 1 f | Course Hero FUNGSI KOMPOSISI & FUNGSI INVERS - ppt download Komposisi dan fungsi Mathematics: Materi Matematika Pasangan Berurutan Kelas_10_SMA_Matematika_Siswa_2017 Pages 101 - 150 - Flip PDF Download | FlipHTML5 Modul matematika kelas X KD 3.5 kurikulum 2013 revisi 2016 kiki ismay… Tentukan a f o g x b g o f x 102 Jawab a f o g x f g x f 2x 3 2x 1 6x 1 b g o f | Course Hero Komposisi Fungsi Pasangan Berurutan - YouTube pliss bantuin yg no 3 bsk dikumpul..beserta cara ny!!pliss bantuin ..plisss bantuinn - Brainly.co.id Relasi Fungsi 2_14_04_2019_19_29 - RELASI FUNGSI PAKET 2 D OPERASI FUNGSI Jenis operasi aljabar sering dijumpai dalam himpunan bilangan real seperti | Course Hero Kalkulus – IT Places FUNGSI KOMPOSISI DAN INVERS FUNGSI - PDF Download Gratis Tentukan a f o g x b g o f x 102 Jawab a f o g x f g x f 2x 3 2x 1 6x 1 b g o f | Course Hero diketahui fungsi f dan g dinyatakan dalam pasangan berurut f = {(1,5) (2,6) (3,-1) (4,8)} g = - Brainly.co.id FUNGSI Definisi Fungsi - ppt download BEBERAPA MACAM FUNGSI DALAM ALJABAR 1. Fungsi Komposisi Pengertian Fungsi Komposisi dan Fungsi Invers Contoh Soal Pengertian dan Sifat-Sifat Fungsi Komposisi - Asep Respati diketahui fungsi f dan fungsi g dinyatakan dalam pasangan terurut f = {(0, 1), (2, 4), (3, -1), (4, - Brainly.co.id a f o g 35 46 54 63 g f f o g 3 4 5 6 8 1 1 2 5 6 4 3 17 b g o f 11 12 28 8 1 f | Course Hero Fungsi komposisi Relasi Dan Fungsi 2 Tentukan a f o g x b g o f x 102 Jawab a f o g x f g x f 2x 3 2x 1 6x 1 b g o f | Course Hero Modul matematika kelas X KD 3.5 kurikulum 2013 revisi 2016 kiki ismay… Kelas X Mat BG by Abdullah SMAN 1 Genteng - issuu Fungsi f dan g dinyatakan dalam pasangan terurut berikut. f = {(1, 2), (3, 4), (5, 7), (7, 8) }g = - Brainly.co.id PEMERINTAH KOTA PONTIANAK DINAS PENDIDIKAN PEMERINTAH KOTA PONTIANAK DINAS PENDIDIKAN Jl. Letjen. Sutoyo Pontianak, Telp. (0561) 736711, Website: - ppt download Materi Kalkulus II Fungsi Komposisi Dan Invers [informatika 1] - Gaul-Techo Komposisi dan fungsi 3. Diketahui fungsi f dari A ke B dinyatakan dalam himpunan pasangan berurutan: {(-2, 1), (-1,2), - Brainly.co.id FUNGSI Definisi Fungsi - ppt download Komposisi dan fungsi Materi kalkulus 1 - Tri Puji indriyani Dengan kata lain suatu kodomain fungsi surjektif sama dengan kisarannya range | Course Hero Relasi Dan Fungsi 2 Fungsi: Notasi, Domain, Range, Operasi, Komposisi dan Invers Fungsi komposisi PEMERINTAH KOTA PONTIANAK DINAS PENDIDIKAN PEMERINTAH KOTA PONTIANAK DINAS PENDIDIKAN Jl. Letjen. Sutoyo Pontianak, Telp. (0561) , Website: - ppt download Fungsi,fungsi Komposisi dan Fungsi Invers Fungsi komposisi Di antara himpunan pasangan berurutan berikut, manakah yang mewakili sebuah fungsi dengan daerah asa - YouTube Surga Matematika: Fungsi komposisi dan fungsi invers Pembahasan Fungsi Komposisi dan Fungsi Invers.doc Contoh Relasi dan Fungsi Dalam Matematika - Kelas Pintar BEBERAPA MACAM FUNGSI DALAM ALJABAR 1. Fungsi . Contoh Soal Fungsi Kuadrat dan Pembahasannya 1. … dan daerah hasil (range). Persamaan atau kesamaan akan terjadi apabila jumlah anggota Fungsi: Notasi, Domain, Range, Operasi, Komposisi dan Invers matematika wajib Tolong ya 1.diketahui himpunan A={1,3,4}, B={2,3,4,5},dab relasi dari A ke B menyatakan “kurang - Brainly.co.id Pengertian, Sifat-Sifat, dan Contoh Soal Fungsi Komposisi - madematika Materi kalkulus 1 - Tri Puji indriyani FUNGSI KOMPOSISI DAN FUNGSI INVERS - SMA Kelas 11/Matematika/Bab 3 Fungsi… · menentukan invers fungsi - [PDF Document] Tentukan a f o g x b g o f x 102 Jawab a f o g x f g x f 2x 3 2x 1 6x 1 b g o f | Course Hero Komposisi FUNGSi Dan Fungsi invers - ppt download Modul MTK Paket C E-KTP_sip.indd Contoh Soal Fungsi Komposisi dan Invers dan Jawaban [+Pembahasan] Mathematics: Materi Matematika Pasangan Berurutan FUNGSI - Jokotrimath’s Weblog | Ajang temu pecinta … . Dua fungsi f dan g didefinisikan sebagai f: x 2x + 1 dan g: x x 2 – 1. a. Tentukan bentuk dari fungsi-fungsi , dan b. Tentukan - [PDF Document] Relasi Fungsi 2_14_04_2019_19_29 - RELASI FUNGSI PAKET 2 D OPERASI FUNGSI Jenis operasi aljabar sering dijumpai dalam himpunan bilangan real seperti | Course Hero c875f bab 3 fungsi Diketahui fungsi f: R→R, g: R→R, dirumus dengan f(x) = x/x - 2 dan g(x) = √x + 5. Tentukan daerah - YouTube PDF) KOMPOSISIFUNGSI DAN FUNGSI INVERS | Ade Indra - Academia.edu diketahui :A={1,2,3,4} dan himpunan B={2,4,6,8,10} relasi yang menghubungkan himpunan A dan B - Brainly.co.id Kalkulus – IT Places RELASI DAN FUNGSI – syaiflash.com FUNGSI KOMPOSISI DAN INVERS FUNGSI - PDF Download Gratis MARI BELAJAR DENGAN MUDAH TENTANG FUNGSI ATAU PEMETAAN PADA MATEMATIKA - DOMINIC NEWS Untitled

Latar Belakang Pergerakan Nasional Indonesia

Makalah Perkembangan Teknologi Persenjataan Dan Ruang Angkasa